
前言
本文具有强烈的个人感情色彩,如有观看不适,请尽快关闭. 本文仅作为个人学习记录使用,也欢迎在许可协议范围内转载或分享,请尊重版权并且保留原文链接,谢谢您的理解合作. 如果您觉得本站对您能有帮助,您可以使用RSS方式订阅本站,感谢支持!
如题
给你二叉树的根节点root,返回其节点值的锯齿形层序遍历。(即先从左往右,再从右往左进行下一层遍历,以此类推,层与层之间交替进行)。
示例1

1
2
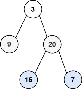
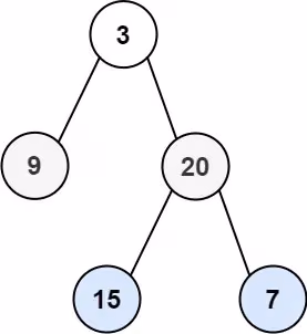
输入:root = [3,9,20,null,null,15,7]
输出:[[3],[20,9],[15,7]]
示例2
1
2
输入:root = [1]
输出:[[1]]
示例3
1
2
输入:root = []
输出:[]
实现代码
1
2
3
4
5
6
7
8
9
10
11
12
13
14
15
16
17
18
19
20
21
22
23
24
25
26
27
28
29
30
31
32
33
34
35
36
37
38
39
40
41
struct TreeNode {
int val;
TreeNode *left;
TreeNode *right;
TreeNode() : val(0), left(nullptr), right(nullptr) {}
TreeNode(int x) : val(x), left(nullptr), right(nullptr) {}
TreeNode(int x, TreeNode *left, TreeNode *right) : val(x), left(left), right(right) {}
};
class Solution {
public:
vector<vector<int>> zigzagLevelOrder(TreeNode* root) {
vector<vector<int>> ans;
if (root == nullptr) { return ans; }
queue<TreeNode *> nodeQueue;
nodeQueue.push(root);
bool isOrderLeft = true;
while(!nodeQueue.empty()) {
deque<int> levelList;
int n = nodeQueue.size();
for (int i = 0; i < n; i++) {
auto node = nodeQueue.front();
nodeQueue.pop();
if (isOrderLeft) {
levelList.push_back(node->val);
} else {
levelList.push_front(node->val);
}
if (node->left) {
nodeQueue.push(node->left);
}
if (node->right) {
nodeQueue.push(node->right);
}
}
ans.emplace_back(vector<int>{levelList.begin(),levelList.end()});
isOrderLeft = !isOrderLeft;
}
return ans;
}
};