
前言
本文具有强烈的个人感情色彩,如有观看不适,请尽快关闭. 本文仅作为个人学习记录使用,也欢迎在许可协议范围内转载或分享,请尊重版权并且保留原文链接,谢谢您的理解合作. 如果您觉得本站对您能有帮助,您可以使用RSS方式订阅本站,感谢支持!
如题
给你二叉树的根节点root,返回其节点值的层序遍历.(即逐层地,从左到右访问所有节点).
示例1

1
2
3
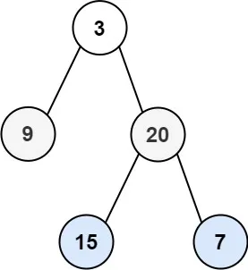
输入:root = [3,9,20,null,null,15,7]
输出:[[3],[9,20],[15,7]]
示例2
1
2
输入:root = [1]
输出:[[1]]
示例3
1
2
输入:root = []
输出:[]
实现代码
1
2
3
4
5
6
7
8
9
10
11
12
13
14
15
16
17
18
19
20
21
22
23
24
25
26
27
28
29
30
31
32
33
34
struct TreeNode {
int val;
TreeNode *left;
TreeNode *right;
TreeNode() : val(0), left(nullptr), right(nullptr) {}
TreeNode(int x) : val(x), left(nullptr), right(nullptr) {}
TreeNode(int x, TreeNode *left, TreeNode *right) : val(x), left(left), right(right) {}
};
class Solution {
public:
vector<vector<int>> levelOrder(TreeNode* root) {
vector<vector<int>> ret;
if(root == nullptr) { return ret; }
queue <TreeNode *> q;
q.push(root);
while(!q.empty()) {
int levelSize = q.size();
ret.push_back(vector<int>());
for (int i = 1; i <= levelSize; ++i) {
auto node = q.front();
q.pop();
ret.back().push_back(node->val);
if (node->left) {
q.push(node->left);
}
if (node->right) {
q.push(node->right);
}
}
}
return ret;
}
};